|
Á¦29·ù À¯±âÈÇÐǰ
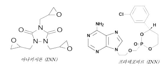
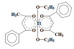
ÁÖ: 1. ÀÌ ·ùÀÇ °¢ È£´Â ¹®¸Æ»ó ´Þ¸® ÇØ¼®µÇÁö ¾Ê´Â ÇÑ ´ÙÀ½ °¢ ¸ñÀÇ °Í¿¡¸¸ Àû¿ëÇÑ´Ù. °¡. ÈÇÐÀûÀ¸·Î ´ÜÀÏÇÑ À¯±âÈÇÕ¹°(ºÒ¼ø¹°À» ÇÔÀ¯ÇÑ °ÍÀÎÁö¿¡ »ó°ü¾ø´Ù) ³ª. °°Àº À¯±âÈÇÕ¹°ÀÇ µÑ ÀÌ»óÀÇ À̼ºÃ¼ÀÇ È¥ÇÕ¹°[ºÒ¼ø¹°À» ÇÔÀ¯ÇÑ °ÍÀÎÁö¿¡ »ó°ü¾ø´Ù. ´Ù¸¸, Æ÷ȳª ºÒÆ÷ÈÀÇ ºñȯ½Ä źȼö¼Ò¿¡¼´Â ÀÔü À̼ºÃ¼(í¡ô÷ ì¶àõô÷) ¿ÜÀÇ À̼ºÃ¼ÀÇ È¥ÇÕ¹°(Á¦27·ù)Àº Á¦¿ÜÇÑ´Ù] ´Ù. Á¦2936È£ºÎÅÍ Á¦2939È£±îÁöÀÇ ¹°Ç°, Á¦2940È£ÀÇ ´ç¿¡Å׸£¡¤´ç¾Æ¼¼Å»¡¤´ç¿¡½ºÅ׸£¿Í À̵éÀÇ ¿°À̳ª Á¦2941È£ÀÇ ¹°Ç°(ÈÇÐÀûÀ¸·Î ´ÜÀÏÇÑ °ÍÀÎÁö¿¡ »ó°ü¾ø´Ù) ¶ó. °¡¸ñ¡¤³ª¸ñ¡¤´Ù¸ñÀÇ ¹°Ç°ÀÌ ¹°¿¡ ¿ëÇØµÈ °Í ¸¶. °¡¸ñ¡¤³ª¸ñ¡¤´Ù¸ñÀÇ ¹°Ç°ÀÌ ¹° ¿ÜÀÇ ¿ë¸Å¿¡ ¿ëÇØµÈ °Í(±×·¯ÇÑ ¿ëÇØ°¡ ¾ÈÀüÀ̳ª ¼ö¼ÛÀ» À§Çؼ¸¸ Åë»ó ÇÊ¿äÇÑ ¼ö´ÜÀÎ °æ¿ì·Î ÇÑÁ¤Çϰí, ±× ¿ë¸Å·Î ÀÎÇÏ¿© ÇØ´ç ¹°Ç°ÀÌ ÀϹÝÀû ¿ëµµ°¡ ¾Æ´Ï¶ó ƯÁ¤ ¿ëµµ¿¡ Ưº°È÷ ´õ ÀûÇÕÇÏ°Ô µÇ´Â °ÍÀº Á¦¿ÜÇÑ´Ù) ¹Ù. °¡¸ñ¡¤³ª¸ñ¡¤´Ù¸ñ¡¤¶ó¸ñ¡¤¸¶¸ñÀÇ ¹°Ç°À¸·Î¼ º¸Á¸À̳ª ¼ö¼ÛÀ» Çϱâ À§ÇÏ¿© ¾ÈÁ¤Á¦[°í°á(ͳ̿)¹æÁöÁ¦¸¦ Æ÷ÇÔÇÑ´Ù]¸¦ ÷°¡ÇÑ °Í »ç. °¡¸ñ¡¤³ª¸ñ¡¤´Ù¸ñ¡¤¶ó¸ñ¡¤¸¶¸ñ¡¤¹Ù¸ñÀÇ ¹°Ç°¿¡ ±× ¹°Ç°ÀÇ ½Äº°À̳ª ¾ÈÀüÀ» À§ÇÏ¿© Ç׺ÐÁ¦(ù÷ÝÏð¥)¡¤Âø»öÁ¦¡¤¹æÇ⼺(Û»úÅàõ) ¹°Áú¡¤±¸ÅäÁ¦¸¦ ÷°¡ÇÑ °Í(±×·¯ÇÑ Ã·°¡·Î ÀÎÇÏ¿© ÇØ´ç ¹°Ç°ÀÌ ÀϹÝÀû ¿ëµµ°¡ ¾Æ´Ï¶ó ƯÁ¤ ¿ëµµ¿¡ Ưº°È÷ ´õ ÀûÇÕÇÏ°Ô µÇ´Â °ÍÀº Á¦¿ÜÇÑ´Ù) ¾Æ. ¾ÆÁ¶(azo)¿°·áÀÇ Á¦Á¶¸¦ À§ÇÏ¿© Ç¥ÁØ ³óµµ·Î Èñ¼®ÇÑ ¹°Ç°[µð¾ÆÁ¶´½¿°°ú ±× ¿°¿¡ »ç¿ëÇÏ´Â Ä¿Ç÷¯(coupler)¿Í µð¾ÆÁ¶ÈÇÒ ¼ö ÀÖ´Â ¾Æ¹Î°ú ±× ¿°À¸·Î ÇÑÁ¤ÇÑ´Ù] 2. ÀÌ ·ù¿¡¼ ´ÙÀ½ °¢ ¸ñÀÇ °ÍÀº Á¦¿ÜÇÑ´Ù. °¡. Á¦1504È£ÀÇ ¹°Ç°À̳ª Á¦1520È£ÀÇ °¡°øÇÏÁö ¾ÊÀº ±Û¸®¼¼·Ñ(±Û¸®¼¼¸°) ³ª. ¿¡Æ¿¾ËÄÚ¿Ã(Á¦2207È£³ª Á¦2208È£) ´Ù. ¸ÞźÀ̳ª ÇÁ·ÎÆÇ(Á¦2711È£) ¶ó. Á¦28·ùÀÇ ÁÖ Á¦2È£ÀÇ Åº¼ÒÈÇÕ¹° ¸¶. Á¦3002È£ÀÇ ¸é¿ª¹°Ç° ¹Ù. ¿ä¼Ò(Á¦3102È£³ª Á¦3105È£) »ç. ½Ä¹°¼º¡¤µ¿¹°¼º Âø»öÁ¦(Á¦3203È£), ÇÕ¼º À¯±âÂø»öÁ¦, Çü±¤Áõ¹éÁ¦³ª ·ç¹Ì³ëÆÛ·Î »ç¿ëµÇ´Â Á¾·ùÀÇ ÇÕ¼ºÀ¯±â»ý»êǰ(Á¦3204È£), ¼Ò¸Å¿ë ¸ð¾çÀ̳ª Æ÷ÀåÀ» ÇÑ ¿°·á¿Í ±× ¹ÛÀÇ Âø»öÁ¦(Á¦3212È£) ¾Æ. È¿¼Ò(Á¦3507È£) ÀÚ. ¸ÞŸ¾Ëµ¥È÷µå¡¤Çí»ç¸ÞÆ¿·»Åׯ®¶ó¹Î°ú ÀÌ¿Í À¯»çÇÑ ¹°ÁúÀ» ÅÂºí¸´(tablet) ¸ð¾ç¡¤¸·´ë(stick) ¸ð¾çÀ̳ª ÀÌ¿Í À¯»çÇÑ ¸ð¾çÀ¸·Î ÇÑ ¿¬·á, Èí¿¬¿ë ¶óÀÌÅͳª ÀÌ¿Í À¯»çÇÑ ¶óÀÌÅÍ ÃæÀü¿ë ¿ë±â(¿ë·®ÀÌ 300¼¼Á¦°ö¼¾Æ¼¹ÌÅÍ ÀÌÇÏÀÎ °ÍÀ¸·Î ÇÑÁ¤ÇÑ´Ù)¿¡ ³ÖÀº ¾×ü ¿¬·á¿Í ¾×Ȱ¡½º ¿¬·á(Á¦3606È£) Â÷. Á¦3813È£ÀÇ ¼Òȱâ¿ë ÀåÀü¹°°ú ¼ÒÈź¿¡ ³ÖÀº ¼ÒÈÁ¦, Á¦3824È£ÀÇ ¼Ò¸Å¿ëÀ¸·Î Æ÷ÀåÇÑ À×Å© Á¦°ÅÁ¦ Ä«. ±¤ÇмÒÀÚ(Á¦9001È£, ¿¹: ÁÖ¼®»ê¿¡Æ¿·»µð¾Æ¹ÎÀÇ °Í) 3. ÀÌ ·ù¿¡¼ µÑ ÀÌ»óÀÇ È£¿¡ ÇØ´çÇÏ´Â ¹°Ç°Àº ±× ÇØ´ç È£ Áß °¡Àå ¸¶Áö¸· È£·Î ºÐ·ùÇÑ´Ù. 4. Á¦2904È£ºÎÅÍ Á¦2906È£±îÁö, Á¦2908È£ºÎÅÍ Á¦2911È£±îÁö, Á¦2913È£ºÎÅÍ Á¦2920È£±îÁöÀÇ ÇҷΰÕÈÀ¯µµÃ¼¡¤¼úÆùÈÀ¯µµÃ¼¡¤´ÏÆ®·ÎÈÀ¯µµÃ¼¡¤´ÏÆ®·Î¼ÒÈÀ¯µµÃ¼¿¡´Â ¼úÆ÷ÇҷΰÕÈÀ¯µµÃ¼¡¤´ÏÆ®·ÎÇҷΰÕÈÀ¯µµÃ¼¡¤´ÏÆ®·Î¼úÆùÈÀ¯µµÃ¼¡¤´ÏÆ®·Î¼úÆ÷ÇҷΰÕÈÀ¯µµÃ¼¸¦ Æ÷ÇÔÇÑ´Ù. ´ÏÆ®·Î³ª ´ÏÆ®·Î¼Ò±â´Â Á¦2929È£¿¡¼ÀÇ Áú¼Ò°ü´É±â°¡ ¾Æ´Ñ °ÍÀ¸·Î º»´Ù. Á¦2911È£, Á¦2912È£, Á¦2914È£, Á¦2918È£, Á¦2922È£¿¡¼ "»ê¼Ò°ü´É"À̶õ Áï, °¢ ÇØ´çÈ£ÀÇ À¯±â»ê¼Ò¸¦ ÇÔÀ¯ÇÑ Æ¯¼º±â(÷åàõÐñ)·Î¼ Á¦2905È£ºÎÅÍ Á¦2920È£±îÁö¿¡ ¿°ÅµÈ »ê¼Ò°ü´É±â·Î ÇÑÁ¤ÇÑ´Ù. 5. °¡. Á¦1ÀýºÎÅÍ Á¦7Àý±îÁöÀÇ »ê°ü´ÉÀ¯±âÈÇÕ¹°°ú À̵é ÀýÀÇ À¯±âÈÇÕ¹°°úÀÇ ¿¡½ºÅ׸£´Â À̸¦ ±¸¼ºÇÏ´Â »ê°ü´ÉÀ¯±âÈÇÕ¹°À̳ª À¯±âÈÇÕ¹°ÀÇ ÇØ´ç È£ Áß °¡Àå ¸¶Áö¸· È£·Î ºÐ·ùÇÑ´Ù. ³ª. ¿¡Æ¿¾ËÄڿðú Á¦1ÀýºÎÅÍ Á¦7Àý±îÁöÀÇ »ê°ü´ÉÀ¯±âÈÇÕ¹°°úÀÇ ¿¡½ºÅ׸£´Â À̸¦ ±¸¼ºÇÏ´Â »ê°ü´ÉÀ¯±âÈÇÕ¹°ÀÇ ÇØ´ç È£·Î ºÐ·ùÇÑ´Ù. ´Ù. ´ÙÀ½¿¡ ¿°ÅÇÑ ¿°Àº Á¦6ºÎÀÇ ÁÖ Á¦1È£¿Í Á¦28·ùÀÇ ÁÖ Á¦2È£ÀÇ ¹°Ç°À» Á¦¿ÜÇϰí´Â, °¢°¢ ´ÙÀ½ ±ÔÁ¤¿¡ µû¸¥´Ù. (1) Á¦1ÀýºÎÅÍ Á¦10Àý±îÁö, Á¦2942.00È£ÀÇ »ê°ü´É¡¤Æä³î°ü´É¡¤¿¡³î°ü´ÉÀÇ ÈÇÕ¹°À̳ª À¯±â¿°±â¿Í °°Àº À¯±âÈÇÕ¹°ÀÇ ¹«±â¿°Àº ÇØ´ç À¯±âÈÇÕ¹°¿¡ ÀûÇÕÇÑ È£·Î ºÐ·ùÇÑ´Ù. (2) Á¦1ÀýºÎÅÍ Á¦10Àý±îÁö³ª Á¦2942.00È£ÀÇ À¯±âÈÇÕ¹° »óÈ£°£¿¡ Çü¼ºµÈ ¿°Àº ±× ¿°ÀÌ Çü¼ºµÈ ¿°±â³ª »ê(Æä³î°ü´ÉÈÇÕ¹°À̳ª ¿¡³î°ü´ÉÈÇÕ¹°À» Æ÷ÇÔÇÑ´Ù)ÀÌ ÇØ´çÇϴ ȣ Áß °¡Àå ¸¶Áö¸· È£·Î ºÐ·ùÇÑ´Ù. (3) ¹èÀ§ÈÇÕ¹°(Á¦11ÀýÀ̳ª Á¦2941È£ÀÇ ¹°Ç°Àº Á¦¿ÜÇÑ´Ù)Àº ±Ý¼Ó-ź¼Ò°áÇÕÀ» Á¦¿ÜÇÑ ¸ðµç ±Ý¼Ó°áÇÕÀÇ "ºÐ¸®"¿¡ ÀÇÇÏ¿© Çü¼ºµÈ Á¶°¢ÀÌ ºÐ·ùµÉ ¼ö ÀÖ´Â Á¦29·ù ³»ÀÇ È£ Áß¿¡¼ ±× ¼ø¼»ó °¡Àå ¸¶Áö¸· È£·Î ºÐ·ùÇÑ´Ù. ¶ó. ±Ý¼Ó¾ËÄڿ÷¹ÀÌÆ®´Â À̸¦ ±¸¼ºÇÏ´Â ¾ËÄÚ¿ÃÀÇ ÇØ´ç È£·Î ºÐ·ùÇÑ´Ù(Á¦2905È£). ´Ù¸¸, ¿¡Åº¿ÃÀÇ °æ¿ì´Â ±×·¸Áö ¾Ê´Ù. ¸¶. Ä«¸£º¹½Ã»êÀÇ ÇҷΰÕȹ°Àº À̸¦ ±¸¼ºÇÏ´Â Ä«¸£º¹½Ã»êÀÇ ÇØ´ç È£·Î ºÐ·ùÇÑ´Ù. 6. Á¦2930È£¿Í Á¦2931È£ÀÇ ÈÇÕ¹°Àº ±× ºÐÀÚ Áß¿¡¼ ¼ö¼Ò¡¤»ê¼Ò¡¤Áú¼Ò ¿øÀÚ»Ó¸¸ ¾Æ´Ï¶ó Ȳ, ºñ¼Ò, ³³, ±× ¹ÛÀÇ ºñ(Þª)±Ý¼ÓÀ̳ª ±Ý¼Ó ¿øÀÚ°¡ ź¼Ò ¿øÀÚ¿Í Á÷Á¢ °áÇÕÇϰí ÀÖ´Â À¯±âÈÇÕ¹°·Î ÇÑÁ¤ÇÑ´Ù. Á¦2930È£(À¯±âȲÈÇÕ¹°)¿Í Á¦2931È£(±× ¹ÛÀÇ À¯±â-¹«±âÈÇÕ¹°)¿¡´Â ź¼Ò ¿øÀÚ¿Í Á÷Á¢ °áÇÕÇϰí ÀÖ´Â ¿øÀÚ°¡ ¼ö¼Ò¡¤»ê¼Ò¡¤Áú¼Ò ¿ÜÀÇ ¼úÆùÈÀ¯ µµÃ¼³ª ÇҷΰÕÈÀ¯µµÃ¼(À̵éÀÇ º¹ÇÕÀ¯µµÃ¼¸¦ Æ÷ÇÔÇÑ´Ù)ÀÇ Æ¯¼ºÀ» °¡Áö´Â ȲÀ̳ª Çҷΰո¸ÀÇ °ÍÀº Á¦¿ÜÇÑ´Ù. 7. Á¦2932È£¡¤Á¦2933È£¡¤Á¦2934È£¿¡¼´Â 3¿ø°í¸®ÀÇ ¿¡Æø½Ãµå, °ú»êÈÄÉÅæ, ¾Ëµ¥È÷µå¡¤Æ¼¿À¾Ëµ¥È÷µåÀÇ È¯½ÄÁßÇÕü, ´Ù¿°±âÄ«¸£º¹½Ã»êÀÇ ¹«¼ö¹°(Ùíâ©Úª), ´Ù°¡¾ËÄڿᤴٰ¡Æä³î, ´Ù¿°±â»ê°úÀÇ È¯½Ä¿¡½ºÅ׸£¡¤´Ù¿°±â»êÀÇ À̵̹å´Â Á¦¿ÜÇÑ´Ù. ÀÌ °æ¿ì °í¸®¸¦ ÀÌ·ç´Â ÇìÅ׷οøÀÚ°¡ ¿©±â¿¡ ¿°ÅµÈ ȯ°ü´É±â³ª °ü´É±â¿¡¼ »ý±ä °Í¿¡¸¸ Àû¿ëÇÑ´Ù. 8. Á¦2937È£¿¡¼ °¡. "È£¸£¸ó"¿¡´Â È£¸£¸ó ºÐºñ¡¤ÃËÁø ÀÎÀÚ, È£¸£¸ó ¾ïÁ¦Á¦, È£¸£¸ó ¹æÁöÁ¦(Ç× È£¸£¸ó)¸¦ Æ÷ÇÔÇÑ´Ù. ³ª. "ÁַΠȣ¸£¸óÀ¸·Î »ç¿ëµÇ´Â"À̶õ È£¸£¸ó È¿°ú¸¦ ¾ò±â À§ÇÏ¿© ÁÖ·Î »ç¿ëµÈ È£¸£¸ó À¯µµÃ¼¿Í ÀÌ¿Í À¯»çÇÑ ±¸Á¶¸¦ °¡Áø °Í»Ó¸¸ ¾Æ´Ï¶ó, ÀÌ È£ÀÇ Á¦Ç°À» ÇÕ¼º Áß°£Ã¼·Î¼ ÁÖ·Î »ç¿ëµÇ´Â È£¸£¸ó À¯µµÃ¼¿Í ÀÌ¿Í À¯»çÇÑ ±¸Á¶¸¦ °¡Áö´Â °Í¿¡µµ Àû¿ëÇÑ´Ù. ¼ÒÈ£ÁÖ: 1. ÀÌ ·ùÀÇ °¢ È£¿¡¼ ÈÇÕ¹°(¶Ç´Â ÈÇÕ¹°ÀÇ ±×·ì)ÀÇ À¯µµÃ¼´Â ±× À¯µµÃ¼°¡ ´Ù¸¥ ¼ÒÈ£¿¡ µû·Î ºÐ·ùµÇÁö ¾Ê°í °ü·Ã ¼ÒÈ£ÀÇ °è¿¿¡¼ "±âŸ"ÀÇ ¼ÒÈ£°¡ ¾ø´Â ÇÑ ±× ÈÇÕ¹°(¶Ç´Â ÈÇÕ¹°ÀÇ ±×·ì)°ú µ¿ÀÏÇÑ ¼ÒÈ£·Î ºÐ·ùÇÑ´Ù. 2. Á¦29·ù ÁÖ Á¦3È£´Â ÀÌ ·ùÀÇ ¼ÒÈ£ ºÐ·ù¿¡ Àû¿ëµÇÁö ¾Ê´Â´Ù. ÃѼ³ ÀϹÝÀûÀ¸·Î ÀÌ ·ù¿¡´Â ÀÌ ·ùÀÇ ÁÖ Á¦1È£ÀÇ ±ÔÁ¤¿¡ µû¶ó ÈÇÐÀûÀ¸·Î ´ÜÀÏÇÑ ÈÇÕ¹°¿¡ °üÇÏ¿© ºÐ·ùÇÑ´Ù. (A) ÈÇÐÀûÀ¸·Î ´ÜÀÏÇÑ ÈÇÕ¹°(·ùÀÇ ÁÖ Á¦1È£ ÂüÁ¶) ÈÇÐÀûÀ¸·Î ´ÜÀÏÇÑ ÈÇÕ¹°(separate chemically defined compound)À̶õ ±× Á¶¼ºÀÌ ¿ø¼ÒµéÀÇ »ó¼öºñ(constant ratio)·Î ±ÔÁ¤µÇ¸ç ÀÏÁ¤ÇÑ ±¸Á¶½ÄÀ¸·Î Ç¥ÇöµÉ ¼ö ÀÖ´Â ÇϳªÀÇ ºÐÀÚ Á¾·ù(¿¹: °øÀ¯³ª ÀÌ¿ÂÀÇ)·Î ±¸¼ºµÈ ¹°ÁúÀ» ¸»ÇÑ´Ù. °áÁ¤°ÝÀÚ(Ì¿ïÜÌ«í : crystal lattice)¿¡ ÀÖ¾î¼, ºÐÀÚ Á¾·ù´Â ¹Ýº¹µÇ´Â ´ÜÀ§¼¿(unit cell)¿¡ ÇØ´çÇÑ´Ù. ÈÇÐÀûÀ¸·Î ´ÜÀÏÇÑ ÈÇÕ¹°·Î¼ Á¦Á¶(Á¤Á¦¸¦ Æ÷ÇÔÇÑ´Ù) ÁßÀ̳ª ÈÄ¿¡ ´Ù¸¥ ¹°ÁúÀÌ ÀǵµÀûÀ¸·Î ÷°¡µÈ °ÍÀº ÀÌ ·ù¿¡¼ Á¦¿ÜÇÑ´Ù. µû¶ó¼, °¨¹ÌÁ¦·Î¼ÀÇ ¿ëµµ¿¡ ÀûÇÕÇϵµ·Ï »çÄ«¸°(saccharin)¿¡ À¯´ç µîÀ» È¥ÇÕÇÑ ¹°Ç°Àº Á¦¿ÜÇÑ´Ù(Á¦2925È£ ÇØ¼³ ÂüÁ¶). ÀÌ ·ù¿¡ ºÐ·ùÇÏ´Â ÈÇÐÀûÀ¸·Î ´ÜÀÏÇÑ ÈÇÕ¹°¿¡´Â ºÒ¼ø¹°À» ÇÔÀ¯ÇÑ °æ¿ìµµ ÀÖ´Ù[ÁÖ Á¦1È£°¡¸ñ]. ´Ù¸¸, Á¦2940È£ÀÇ ´ç·ù¿¡´Â ÈÇÐÀûÀ¸·Î ¼ø¼öÇÑ ´ç·ù¿¡ ÇÑÁ¤ÇÏ¿© ºÐ·ùÇϵµ·Ï ±ÔÁ¤Çϰí ÀÖ´Ù. "ºÒ¼ø¹°(impurity)"À̶ó´Â ¿ë¾î´Â ´ÜÀÏ ÈÇÕ¹°ÀÇ Á¦Á¶°øÁ¤(Á¤Á¦¸¦ Æ÷ÇÔÇÑ´Ù)¿¡ ÀüÀûÀ̰í Á÷Á¢ÀûÀÎ °á°ú·Î ³ªÅ¸³ ¹°Áú¿¡ ´ëÇØ¼¸¸ Àû¿ëÇÑ´Ù. ÀÌ·¯ÇÑ ¹°ÁúÀº °øÁ¤¿¡ °ü·ÃµÈ ƯÁ¤ ¿äÀο¡ ÀÇÇÑ °á°úÀ̸ç, ÁÖ¿äÇÑ °ÍÀ¸·Î´Â ´ÙÀ½°ú °°Àº °ÍÀÌ ÀÖ´Ù. (a) º¯È¯µÇÁö ¾ÊÀº ÃʱâÀÇ ¿ø·á (b) ÃʱâÀÇ ¿ø·á¿¡ ÀÌ¹Ì Æ÷ÇÔµÈ ºÒ¼ø¹° (c) Á¦Á¶°øÁ¤(Á¤Á¦¸¦ Æ÷ÇÔÇÑ´Ù) Áß¿¡ »ç¿ëÇÑ ½Ã¾à (d) ºÎ»ê¹° ±×·¯³ª ÀÌ·¯ÇÑ ¹°ÁúÀÌ ¸ðµç °æ¿ì¿¡ ÁÖ Á¦1È£°¡¸ñ¿¡¼ Çã¿ëÇÏ´Â "ºÒ¼ø¹°"·Î °£ÁÖÇÏÁö ¾Ê´Â´Ù´Â Á¡¿¡ À¯ÀÇÇÏ¿©¾ß ÇÑ´Ù. ±×·¯ÇÑ ¹°ÁúÀÌ ÀϹÝÀûÀÎ ¿ëµµº¸´Ù´Â ƯÁ¤ ¿ëµµ¿¡ ÀûÇÕÇϵµ·Ï Çϱâ À§ÇÏ¿© ´çÇØ ¹°Ç°¿¡ ÀǵµÀûÀ¸·Î ³²°Ü³õÀº °æ¿ì, À̵éÀº Çã¿ëµÉ ¼ö ÀÖ´Â ºÒ¼ø¹°·Î °£ÁÖÇÏÁö´Â ¾Ê´Â´Ù. ¿¹ÄÁ´ë ÃÊ»ê¸ÞÆ¿(methyl acetate)·Î Á¶¼ºµÈ ¹°Ç° Áß ±× ¹°Ç°ÀÇ ¿ëÁ¦(éÁð¥ : solvent)·Î¼ÀÇ ÀûÇÕ¼ºÀ» ÁõÁø½Ã۱â À§ÇÏ¿© ÀǵµÀûÀ¸·Î ¸Þź¿Ã(methanol)À» ³²°ÜµÎ´Â °æ¿ì¿¡´Â ÀÌ ¹°Ç°Àº ÀÌ ·ù¿¡¼ Á¦¿ÜÇÑ´Ù(Á¦3814È£). ƯÁ¤ ÈÇÕ¹° [¿¹¸¦ µé¸é, ¿¡Åº(ethane)¡¤º¥Á¨(benzene)¡¤Æä³î(phenol)¡¤ÇǸ®µò(pyridine)]¿¡ À־ ƯÁ¤ÇÑ ¼øµµ°¡ ±ÔÁ¤Çϰí ÀÖ´Ù(Á¦2901È£¡¤Á¦2902È£¡¤Á¦2907È£¡¤Á¦2933È£ ÇØ¼³ ÂüÁ¶). ÀÌ ·ù¿¡ ºÐ·ùÇÏ´Â ÈÇÐÀûÀ¸·Î ´ÜÀÏÇÑ ÈÇÕ¹°Àº ¹°¿¡ ¿ëÇØµÇ´Â °æ¿ìµµ ÀÖ´Ù. ÀÌ ·ù¿¡´Â ¶ÇÇÑ Á¦28·ù ÃѼ³¿¡ ±ÔÁ¤ÇÑ ¹Ù¿Í ¸¶Âù°¡Áö·Î ¾ÈÁ¤Á¦¡¤Ç׺ÐÁ¦(ù÷ÝÏð¥ : anti-dusting agent)³ª Âø»öÁ¦¸¦ ÷°¡ÇÑ ºñ¼ö¿ë¼º ¿ë¾×°ú ÈÇÕ¹°(¶Ç´Â ±×µéÀÇ ¿ë¾×)À» ºÐ·ùÇÑ´Ù. ¿¹¸¦ µé¸é, ½ºÆ¼·»(styrene)¿¡ »ïºÎƿīÅ×ÄÝ(tertiary butylcatechol)À» ÷°¡ÇÑ °æ¿ì´Â Á¦2902È£¿¡ ºÐ·ùÇÑ´Ù. ¾ÈÁ¤Á¦¡¤Ç׺ÐÁ¦(ù÷ÝÏð¥)¡¤Âø»öÁ¦ÀÇ Ã·°¡¿¡ °üÇÑ Á¦28·ù ÇØ¼³ÀÇ ±ÔÁ¤Àº ÀÌ ·ùÀÇ ÈÇÕ¹°¿¡µµ ÁØ¿ëÇÑ´Ù. Âø»öÁ¦ÀÇ °æ¿ì¿Í °°Àº ÀÌÀ¯·Î ÀÌ ·ùÀÇ ÈÇÕ¹°Àº ¹æÇ⼺(Û»úÅàõ) ¹°Áú[¿¹: ¼Ò·®ÀÇ Å¬·Î·ÎÇÇÅ©¸°(chloropicrin)À» ÷°¡Çϰí ÀÖ´Â ºê·ÒȸÞź(bromomethane)-Á¦2903È£]À̳ª ±¸ÅäÁ¦(emetic)¸¦ ÇÔÀ¯Çϰí ÀÖ´Â °æ¿ìµµ ÀÖ´Ù. ¶ÇÇÑ ÀÌ ·ù¿¡´Â ºÒ¼ø¹°À» ÇÔÀ¯ÇÏ¿´´ÂÁö¿¡´Â »ó°ü¾øÀÌ µ¿ÀÏ À¯±âÈÇÕ¹°ÀÇ À̼ºÃ¼ÀÇ È¥ÇÕ¹°À» Æ÷ÇÔÇÑ´Ù. ´Ù¸¸, µ¿ÀÏÇÑ ÈÇаü´É±â¸¦ °¡Áø ÈÇÕ¹°ÀÇ È¥ÇÕ¹°À̾î¾ß Çϸç õ¿¬ »óÅ¿¡¼ °øÁ¸Çϰųª µ¿ÀÏ ÇÕ¼º °úÁ¤¿¡¼ µ¿½Ã¿¡ ¾ò¾îÁö´Â °ÍÀ¸·Î ÇÑÁ¤ÇÑ´Ù. ºñȯ½Äźȼö¼Ò À̼ºÃ¼ÀÇ È¥ÇÕ¹°[ÀÔü À̼ºÃ¼(í¡ô÷ ì¶àõô÷ : stereoisomer) ÀÌ¿ÜÀÇ °Í]Àº Æ÷ȳª ºÒÆ÷È¿¡ »ó°ü¾øÀÌ ÀÌ ·ù¿¡¼ Á¦¿ÜÇÑ´Ù(Á¦27·ù). (B) Á¦28·ù¿Í Á¦29·ùÀÇ ÈÇÕ¹°°úÀÇ Â÷ÀÌÁ¡ ±Í±Ý¼Ó¡¤¹æ»ç¼º ¿ø¼Ò¡¤µ¿À§¿ø¼Ò¡¤È¸Åä·ù ±Ý¼Ó¡¤ÀÌÆ®·ý(yttrium)°ú ½ºÄµã(scandium)ÀÇ À¯±â ÈÇÕ¹°°ú Á¦28·ù ÃѼ³ (B)¿¡ ¿°ÅÇÑ Åº¼Ò¸¦ ÇÔÀ¯ÇÑ ±× ¹ÛÀÇ ÈÇÕ¹°Àº 29·ù¿¡¼ Á¦¿ÜÇÑ´Ù(Á¦6ºÎÀÇ ÁÖ Á¦1È£¿Í Á¦28·ùÀÇ ÁÖ Á¦2È£ ÂüÁ¶). Á¦28·ùÀÇ ÁÖ Á¦2È£¿¡ ¿°ÅÇÑ °Í ÀÌ¿ÜÀÇ À¯±â¡¤¹«±âÈÇÕ¹°Àº Á¦29·ù¿¡ ºÐ·ùÇÑ´Ù. (C) ÈÇÐÀûÀ¸·Î ´ÜÀÏÇÑ ÈÇÕ¹°ÀÌ ¾Æ´Ï¶óµµ Á¦29·ù¿¡ ºÐ·ùÇÏ´Â ¹°Ç° Á¦29·ù¿¡´Â ÈÇÐÀûÀ¸·Î ´ÜÀÏÇÑ ÈÇÕ¹°¿¡ Á¤ÇÏ¿© ºÐ·ùÇÑ´Ù´Â ±ÔÁ¤¿¡ ´ëÇÏ¿©´Â ¿¹¿Ü°¡ ÀÖ´Ù. ÀÌµé ¿¹¿Ü¿¡´Â ´ÙÀ½ °¢ È£¿¡ ÇØ´çµÇ´Â ¹°Ç°À» Æ÷ÇÔÇÑ´Ù. Á¦2909È£ - °ú»êÈÄÉÅæ(ketone peroxide) Á¦2912È£ - ¾Ëµ¥È÷µå(aldehyde)ÀÇ È¯½ÄÁßÇÕü; ÆÄ¶óÆ÷¸§¾Ëµ¥È÷µå(paraformaldehyde) Á¦2919È£ - ¶ôÅäÆ÷½ºÆäÀÌÆ®(lactophosphate) Á¦2923È£ - ·¹½Ãƾ(lecithins)°ú ±× ¹ÛÀÇ Æ÷½ºÆ÷¾Æ¹Ì³ë¸®Çǵå(phosphoaminolipid) Á¦2934È£ - ÇÙ»ê°ú ±×µéÀÇ ¿° Á¦2936È£ - ÇÁ·ÎºñŸ¹Î(provitamin)°ú ºñŸ¹Î(vitamin)(³óÃ๰°ú È¥ÇÕ¹°À» Æ÷ÇÔÇÑ´Ù). ¿ë¸Å¿¡ ¿ëÇØÇÑ °ÍÀÎÁö¿¡ »ó°ü¾ø´Ù. Á¦2937È£ - È£¸£¸ó Á¦2938È£ - ±Û¸®Äڽõå(glycoside)¿Í ±× À¯µµÃ¼ Á¦2939È£ - ½Ä¹° ¾ËÄ®·ÎÀ̵å(alkaloid)¿Í ±× À¯µµÃ¼ Á¦2940È£ - ´ç ¿¡Å׸£(sugar ether)¡¤´ç ¾Æ¼¼Å»(sugar acetal)¡¤´ç ¿¡½ºÅ׸£(sugar ester)¿Í À̵éÀÇ ¿° Á¦2941È£ - Ç×»ý¹°Áú ÀÌ ·ù¿¡´Â ¶ÇÇÑ µð¾ÆÁ¶´½¿°(diazonium salt)(Á¦2927È£ÀÇ ÇØ¼³ (A) ÂüÁ¶), ÀÌµé ¿°¿¡ »ç¿ëÇÏ´Â Ä¿Ç÷¯(coupler)¿Í µð¾ÆÁ¶ÈÇÒ ¼ö ÀÖ´Â ¾Æ¹Î(amine)°ú À̵éÀÇ ¿°À» Áß¼º¿° µîÀ¸·Î Èñ¼®ÇÏ¿© Ç¥ÁØ ³óµµ·Î ¸¸µç °ÍÀ» Æ÷ÇÔÇϸç À̵éÀº ¾ÆÁ¶(azo)¿°·áÀÇ Á¦Á¶¿¡ »ç¿ëÇÏ¸ç ¾×ü³ª °íü°¡ ÀÖ´Ù. ¶ÇÇÑ, ÀÌ ·ù¿¡´Â Á¦2936È£ºÎÅÍ Á¦2939È£±îÁö¿Í Á¦2941È£ÀÇ ¹°Ç°ÀÇ Æä±×È(pegylated)[Æú¸®¿¡Æ¿·» ±Û¸®ÄÝ(polyethlene glycol)(PEG) Æú¸®¸Ó(polymer)] À¯µµÃ¼µµ Æ÷ÇÔÇÑ´Ù. ÀÌ·¯ÇÑ Æä±×È À¯µµÃ¼´Â Æä±×ÈÇÏÁö ¾ÊÀº ¹°Ç°°ú °°Àº È£·Î ºÐ·ùÇÑ´Ù. ±×·¯³ª, Á¦29·ùÀÇ ´Ù¸¥ È£·Î ºÐ·ùÇÏ´Â ¹°Ç°ÀÇ Æä±×È À¯µµÃ¼´Â Á¦¿ÜÇÑ´Ù(ÀϹÝÀûÀ¸·Î Á¦3907È£). (D) ÈÇÐÀûÀ¸·Î ´ÜÀÏÇÑ À¯±âÈÇÕ¹°·Î¼ Á¦29·ù¿¡¼ Á¦¿ÜÇÏ´Â ¹°Ç°(·ùÀÇ ÁÖ Á¦2È£ ÂüÁ¶) (1) ÈÇÐÀûÀ¸·Î ´ÜÀÏÇÑ ´ÙÀ½ÀÇ Æ¯Á¤ÇÑ À¯±âÈÇÕ¹°Àº ÈÇÐÀûÀ¸·Î ¼ø¼öÇÑ °ÍÀÌ¶óµµ Á¦29·ù¿¡¼ Á¦¿ÜÇÑ´Ù(Á¦28·ù¿¡ ÇØ´çÇÏ´Â °ÍÀº Á¦28·ù ÃѼ³(B) ÂüÁ¶). (a) ÀÚ´ç(í½ÓØ : sucrose)(Á¦1701È£); À¯´ç¡¤¸Æ¾Æ´ç¡¤Æ÷µµ´ç°ú °ú´ç(Á¦1702È£) (b) ¿¡Æ¿¾ËÄÚ¿Ã(ethyl alcohol)(Á¦2207È£³ª Á¦2208È£) (c) ¸Þź(methane)°ú ÇÁ·ÎÆÇ(propane)(Á¦2711È£) (d) ¸é¿ª¹°Ç°(Á¦3002È£) (e) ¿ä¼Ò(Á¦3102È£³ª Á¦3105È£) (f) µ¿¹°¼ºÀ̳ª ½Ä¹°¼º(¿¹: ¿±³ì¼Ò) Âø»öÁ¦(Á¦3203È£) (g) ÇÕ¼º À¯±âÂø»öÁ¦(¾È·á¸¦ Æ÷ÇÔÇÑ´Ù)¿Í ÇÕ¼º À¯±âÇü±¤Áõ¹éÁ¦[¿¹: ƯÁ¤ÀÇ ½ºÆ¿º¥(stilbene) À¯µµÃ¼](Á¦3204È£) (2) Á¦29·ù¿¡ ºÐ·ùÇϴ ƯÁ¤ÀÇ ±× ¹ÛÀÇ ÈÇÐÀûÀ¸·Î ´ÜÀÏÇÑ À¯±âÈÇÕ¹°·Î¼ ÈÇб¸Á¶°¡ º¯ÇÏÁö ¾Ê°Ô À¯ÁöÇÏ¸é¼ Æ¯Á¤ 󸮸¦ °¡ÇÑ °æ¿ìÀ̰ųª ƯÁ¤ ¸ð¾çÀ¸·Î Æ÷ÀåµÈ °æ¿ì¿¡´Â Á¦29·ù¿¡¼ Á¦¿ÜÇϸç, ¿¹¸¦ µé¸é, ´ÙÀ½°ú °°´Ù. (a) Ä¡·á¿ëÀ̳ª ¿¹¹æ¿ëÀÇ °ÍÀ¸·Î¼ ÀÏÁ¤ÇÑ Åõ¿©·®À¸·Î ÇÑ °Í°ú ¼Ò¸Å¿ë ¸ð¾çÀ̳ª Æ÷ÀåÀ¸·Î ÇÑ °Í(Á¦3004È£) (b) Çü±¤À» ¹ßÇϵµ·Ï ó¸®ÇÑ °ÍÀ¸·Î¼ ·ç¹Ì³ëÆÛ(luminophore)·Î »ç¿ëÇÏ´Â Á¾·ùÀÇ ¹°Ç°[¿¹: »ì¸®½Ç¾Ë´ÙÁø(salicylaldazine)](Á¦3204È£) (c) ¼Ò¸Å¿ë ¸ð¾çÀ̳ª Æ÷ÀåÀ¸·Î ÇÑ ¿°·á³ª ±× ¹ÛÀÇ Âø»öÁ¦(Á¦3212È£) (d) ¼Ò¸Å Æ÷ÀåµÈ Á¶Á¦Çâ·á¿Í ÈÀåǰ·ù³ª ÈÀå¿ëǰ·ù(¿¹: ¾Æ¼¼Åæ)(Á¦3303È£ºÎÅÍ Á¦3307È£±îÁö) (e) ±Û·ç³ª Á¢ÂøÁ¦¿¡ ÀûÇÕÇÑ °ÍÀ¸·Î¼ ¼Ò¸Å¿ëÀ¸·Î Æ÷ÀåÇÏ¿© ¼ø Áß·® 1§¸ÀÌÇÏÀÎ °Í(Á¦3506È£) (f) ¿¬·á·Î »ç¿ëÇϱâ À§ÇÑ ¸ð¾çÀ¸·Î Æ÷ÀåµÈ °íü ¿¬·á[¿¹: ¸ÞŸ¾Ëµ¥È÷µå(metaldehyde)¡¤Çí»ç¸ÞÆ¿·»Åׯ®¶ó¹Î(hexamethylenetetramine)]°ú ¶óÀÌÅÍ ÃæÀü¿ëÀ¸·Î »ç¿ëÇÏ´Â Á¾·ùÀÇ ¿ë±â(¿ë·®ÀÌ 300§¨ ÀÌÇÏÀÇ °ÍÀ¸·Î ÇÑÁ¤ÇÑ´Ù)¿¡ ³Ö¾îÁø ¾×ü ¿¬·á¿Í ¾×Ȱ¡½º ¿¬·á(¿¹: ¾×üºÎź)(Á¦3606È£) (g) »çÁø¿ëÀÇ È÷µå·ÎÄû³í(hydroquinone)°ú ±× ¹ÛÀÇ ´ÜÀÏ ¹°Ç°À¸·Î¼ ÀÏÁ¤ ¼Ò·®À¸·Î ³ª´©°Å³ª ±×´ë·Î »ç¿ëÇÒ ¼ö ÀÖ´Â ¸ð¾çÀÎ ¼Ò¸ÅÆ÷ÀåÇÑ °Í(Á¦3707È£) (h) Á¦3808È£¿¡ ¿°ÅµÈ °Í°ú °°ÀÌ Æ÷ÀåµÈ ¼Òµ¶Á¦¿Í »ìÃæÁ¦ µî (ij) Á¦3813È£ÀÇ ¼Òȱâ¿ë ÀåÀü¹°°ú ¼ÒÈź¿¡ ³ÖÀº ¼ÒÈÁ¦(¿¹: »ç¿°Èź¼Ò)(Á¦3813È£) (k) ¼Ò¸Å¿ëÀ¸·Î Æ÷ÀåÇÑ À×Å© Á¦°ÅÁ¦[¿¹: Á¦2935È£ÀÇ Å¬·Î¶ó¹Î(chloramine)À» ¹°¿¡ ¿ëÇØ½ÃŲ °Í](Á¦3824È£) (l) ±¤Çпëǰ[¿¹: ÁÖ¼®»ê¿¡Æ¿·»µð¾Æ¹Î(ethylenediamine tartrate)](Á¦9001È£) (E) Á¦29·ùÀÇ 2°³ ÀÌ»óÀÇ È£¿¡ µ¿½Ã¿¡ ÇØ´çµÇ´Â ¹°Ç°ÀÇ ºÐ·ù(·ùÀÇ ÁÖ Á¦3È£ ÂüÁ¶) ÀÌ ¹°Ç°µéÀº ÇØ´çµÇ´Â È£ Áß °¡Àå ¸¶Áö¸· È£·Î ºÐ·ùÇÑ´Ù. ¿¹¸¦ µé¸é, ¾Æ½ºÄÚ¸£ºê»ê(ascorbic acid)Àº ¶ôÅæ(Á¦2932È£)À̳ª ºñŸ¹Î(Á¦2936È£)À¸·Î ºÐ·ùµÉ ¼ö ÀÖÀ¸³ª; ±× ¼ø¼»ó °¡Àå ¸¶Áö¸· È£ÀÎ Á¦2936È£¿¡ ºÐ·ùÇÑ´Ù. °°Àº ÀÌÀ¯·Î¼, ȯ½Ä¾ËÄÚ¿Ã(Á¦2906È£)ÀÌ¸ç °³Á¶ º¯°æµÇÁö ¾Æ´ÏÇÑ °í³±¸Á¶(unmodified gonane structure)¸¦ °®´Â ½ºÅ×·ÎÀ̵å(steroid)·Î¼ ÁַΠȣ¸£¸ó(Á¦2937È£)À¸·Î »ç¿ëÇÏ¿©Áö´Â ¾Ë¸±¿¡½ºÆ®·¹³î(allylestrenol)Àº Á¦2937È£¿¡ ºÐ·ùÇÑ´Ù. ±×·¯³ª ƯÈ÷ Á¦2940È£ÀÇ ¿ë¾î ³¡¿¡¼ Á¦2937È£, Á¦2938È£, Á¦2939È£ÀÇ ¹°Ç°Àº Á¦¿ÜÇϵµ·Ï ÇÑ °ÍÀ» À¯ÀÇÇÏ¿©¾ß ÇÑ´Ù. (F) ÇҷΰÕÈ(halohenated)À¯µµÃ¼¡¤¼úÆùÈ(sulphonated)À¯µµÃ¼¡¤´ÏÆ®·ÎÈ(nitrated)À¯µµÃ¼¡¤´ÏÆ®·Î¼ÒÈ(nitrosated)À¯µµÃ¼¿Í À̵éÀÇ º¹ÇÕÀ¯µµÃ¼; Á¦2911È£¡¤Á¦2912È£¡¤Á¦2914È£¡¤Á¦2918È£¿Í Á¦2922È£¿¡ ±ÔÁ¤ÇÑ "»ê¼Ò°ü´É"(·ùÀÇ ÁÖ Á¦4È£ ÂüÁ¶) Á¦29·ùÀÇ Æ¯Á¤ È£¿¡´Â ÇҷΰÕÈ(halogenated)À¯µµÃ¼¡¤¼úÆùÈ(suphonated)À¯µµÃ¼¡¤´ÏÆ®·ÎÈ(nitrated)À¯µµÃ¼¡¤´ÏÆ®·Î¼ÒÈ(nitrosated)À¯µµÃ¼¿Í °ü·ÃµÇ´Â ¹°Ç°ÀÌ Æ÷ÇԵǸç ÀÌµé °ü·Ã ¹°Ç°¿¡´Â À̵éÀÇ º¹ÇÕÀ¯µµÃ¼¸¦ Æ÷ÇÔÇÑ´Ù. ¿¹: ¼úÆùÇҷΰÕÈ(sulphohalogenated)À¯µµÃ¼¡¤´ÏÆ®·ÎÇҷΰÕÈ(nitrohalogenated)À¯µµÃ¼¡¤´ÏÆ®·Î¼úÆùÈ(nitrosulphonated)À¯µµÃ¼¡¤´ÏÆ®·Î¼úÆùÇҷΰÕÈ(nitrosulphohalogenated)À¯µµÃ¼ µî ´ÏÆ®·Î±â(nitro group)¿Í ´ÏÆ®·Î¼Ò±â(nitroso group)´Â Á¦2929È£¿¡ ÇØ´çµÇ´Â Áú¼Ò°ü´É±â°¡ ¾Æ´Ñ °ÍÀ¸·Î º»´Ù. ÇҷΰÕÈ(halogenated)À¯µµÃ¼¡¤¼úÆùÈ(suphonated)À¯µµÃ¼¡¤´ÏÆ®·ÎÈ(nitrated)À¯µµÃ¼¡¤´ÏÆ®·Î¼ÒÈ(nitrosated)À¯µµÃ¼´Â ¾î¹Ì ÈÇÕ¹°(parent compound)ÀÇ ¼ö¼Ò¿øÀÚ ÇÑ °³ ÀÌ»óÀ» ÇÑ °³ ÀÌ»óÀÇ ÇҷΰÕ(halogen)¡¤¼úÆ÷(sulpho)(-SO3H)¡¤´ÏÆ®·Î(nitro)(-NO2)¡¤´ÏÆ®·Î¼Ò(nitroso)(-NO)±â³ª À̵éÀÇ ÈÇÕ¹°·Î ġȯÇϹǷνá Çü¼ºµÈ´Ù. ºÐ·ùÇÒ ¶§ °í·ÁµÇ´Â ¸ðµç °ü´É±â[¿¹: ¾Ëµ¥È÷µå(aldehyde), Ä«¸£º¹½Ç»ê(carboxylic acid), ¾Æ¹Î°ü´É±â]´Â À̵é À¯µµÃ¼¿¡ º»·¡´ë·Î ³²¾Æ ÀÖ¾î¾ß ÇÑ´Ù. ÀÌ ·ùÀÇ ÁÖ Á¦4È£ÀÇ ¸¶Áö¸· ¹®´Ü°ú Á¦2911È£¡¤Á¦2912È£¡¤Á¦2914È£¡¤Á¦2918È£¿Í Á¦2922È£ÀÇ ¸ñÀû»ó, À̵é È£ÀÇ ¿ë¾î¿¡¼ ±ÔÁ¤ÇÑ "»ê¼Ò°ü´É(oxygen function)"Àº Á¦2905È£¿¡¼ Á¦2920È£±îÁö¿¡¼ ±ÔÁ¤ÇÑ À¯±â»ê¼Ò¸¦ ÇÔÀ¯ÇÑ Æ¯¼º±â(÷åàõÐñ)(characteristic organic oxygen containing group)¿©¾ß¸¸ ÇÑ´Ù. ÀÌ¿Í °ü·ÃÇÏ¿©, Á¦Ç°À» Á¦2911È£¡¤Á¦2912È£¡¤Á¦2914È£¿Í Á¦2918È£¿¡ ºÐ·ùÇϱâ À§ÇØ °í·ÁµÈ »ê¼Ò°ü´É±â(oxygen functional group)´Â º»·¡´ë·Î ³²¾Æ ÀÖ¾î¾ß ÇÑ´Ù. (G) ¿¡½ºÅ׸£(ester)¡¤¿°¡¤¹èÀ§ÈÇÕ¹°¡¤Æ¯Á¤ ÇҷΰÕÈÇÕ¹°ÀÇ ºÐ·ù(·ùÀÇ ÁÖ Á¦5È£ ÂüÁ¶) (1) ¿¡½ºÅ׸£(ester) ÀÌ ·ùÀÇ Á¦1ÀýºÎÅÍ Á¦7Àý±îÁöÀÇ »ê°ü´ÉÀ¯±âÈÇÕ¹°°ú À̵é ÀýÀÇ À¯±âÈÇÕ¹°°úÀÇ ¿¡½ºÅ׸£(ester)´Â À̸¦ ±¸¼ºÇÏ´Â »ê°ü´ÉÀ¯±âÈÇÕ¹°À̳ª À¯±âÈÇÕ¹°ÀÇ ÇØ´ç È£ Áß ±× ¼ø¼»ó °¡Àå ¸¶Áö¸· È£¿¡ ºÐ·ùÇÑ´Ù. ¿¹: (a) ÃÊ»êµð¿¡Æ¿·»±Û¸®ÄÝ(diethylene glycol acetate)[Á¦2909È£ÀÇ µð¿¡Æ¿·»±Û¸®ÄÝ(diethylene glycol)°ú Á¦2915È£ÀÇ ÃÊ»ê°úÀÇ ¹ÝÀÀ¿¡ ÀÇÇÏ¿© »ý¼ºµÈ ¿¡½ºÅ׸£]* Á¦2915È£ (b) ¼úÆù»ê¸ÞÆ¿º¥Á¨(methyl benzenesulphonate)[Á¦2904È£ÀÇ ¼úÆù»êº¥Á¨(benzene-sulphonic acid)°ú Á¦2905È£ÀÇ ¸ÞÆ¿¾ËÄÚ¿Ã(methyl alcohol)°úÀÇ ¹ÝÀÀ¿¡¼ »ý¼ºµÈ ¿¡½ºÅ׸£]* Á¦2905È£ (c) ¼ö¼ÒÇÁÅ»»ê ºÎÆ¿(butyl hydrogenphthalate)[Æú¸®Ä«¸£º¹½Ã»ê(polycarboxylic acid)¿¡¼ ÇÑ °³ÀÇ »ê±â(COOH)ÀÇ ¼ö¼Ò°¡ ġȯµÈ ¿¡½ºÅ׸£]* Á¦2917È£ (d) ±Û¸®ÄÝ»êºÎÆ¿ÇÁÅ»¸±ºÎÆ¿(butyl phthalyl butyl glycollate)[Á¦2905È£ÀÇ ºÎÆ¿¾ËÄÚ¿Ã(butyl acohol)¡¤Á¦2917È£ÀÇ ÇÁÅ»»ê(phthalic acid)°ú Á¦2918È£ÀÇ ±Û¸®ÄÝ»ê(glycollic aicd)°ú ¹ÝÀÀ¿¡ ÀÇÇÏ¿© »ý¼ºµÈ ¿¡½ºÅ׸£]* Á¦2918È£ ÀÌ ±ÔÁ¤Àº ¿¡Æ¿¾ËÄÚ¿Ã(ethyl alcohol)·Î µÈ »ê°ü´ÉÈÇÕ¹°ÀÇ ¿¡½ºÅ׸£(ester)¿¡´Â Àû¿ëµÇÁö ¾Ê´Âµ¥ ±× ÀÌÀ¯´Â ¿¡Æ¿¾ËÄÚ¿ÃÀ» Á¦29·ù¿¡ ºÐ·ùÇÏÁö ¾Ê±â ¶§¹®ÀÌ´Ù. ÀÌ·¯ÇÑ ¿¡½ºÅ׸£´Â À¯µµµÈ »ê°ü´ÉÀ¯±âÈÇÕ¹°ÀÇ ÇØ´ç È£·Î ºÐ·ùÇÑ´Ù.* ¿¹: Ãʻ꿡ƿ(ethyl acetate)[¿¡Æ¿¾ËÄÚ¿Ã(ethyl alcohol)°ú Á¦2915È£ÀÇ ÃÊ»ê(acetic acetate)°úÀÇ ¹ÝÀÀ¿¡ ÀÇÇÏ¿© »ý¼ºµÈ ¿¡½ºÅ׸£(ester)] : Á¦2915È£ ´ç¿¡½ºÅ׸£(sugar ester)¿Í ±× ¿°Àº Á¦2940È£·Î ºÐ·ùµÊ¿¡ À¯ÀÇÇÑ´Ù. (2) ¿° Á¦6ºÎÀÇ ÁÖ Á¦1È£¿Í Á¦28·ùÀÇ ÁÖ Á¦2È£¿¡ ±ÔÁ¤ÇÑ ¹°Ç°Àº Á¦¿ÜÇÏ°í °¢°¢ ´ÙÀ½ÀÇ ±ÔÁ¤¿¡ µû¸¥´Ù. (a) Á¦1ÀýºÎÅÍ Á¦10Àý±îÁö³ª Á¦2942È£ÀÇ »ê(acid)°ü´É¡¤Æä³î(phenol)°ü´É¡¤¿¡³î(enol)°ü´ÉÈÇÕ¹°À̳ª À¯±â ¿°±â¿Í °°Àº À¯±âÈÇÕ¹°ÀÇ ¹«±â¿°Àº ±× À¯±âÈÇÕ¹°ÀÇ ÇØ´ç È£¿¡ ºÐ·ùÇÑ´Ù. ÀÌµé ¿°Àº ´ÙÀ½°ú °°Àº ¹ÝÀÀ¿¡ ÀÇÇÏ¿© »ý¼ºµÈ´Ù. (¥¡) ¹«±â¿°±â¿Í »ê°ü´É¡¤Æä³î°ü´É¡¤¿¡³î°ü´É À¯±âÈÇÕ¹°°úÀÇ ¹ÝÀÀ ¿¹: ¸ÞÅå½Ãº¥Á¶»ê³ªÆ®·ý(sodium methoxybenzoate)[¼ö»êȳªÆ®·ý°ú Á¦2918È£ÀÇ ¸ÞÅå½Ãº¥Á¶»ê(methoxy-benzoic acid)°úÀÇ ¹ÝÀÀ¿¡ ÀÇÇÏ¿© »ý¼ºµÈ ¿°]* Á¦2918È£ ÀÌ ¹üÁÖÀÇ ¿°Àº ¹«±â¿°±â¿Í »ó±â¿¡ ¾ð±ÞµÈ ŸÀÔÀÇ »ê¿¡½ºÅ׸£(acid esters)¿ÍÀÇ ¹ÝÀÀ¿¡ ÀÇÇÏ¿© »ý¼ºµÉ ¼öµµ ÀÖ´Ù. ¿¹: ÇÁÅ»»ê¿£ºÎÆ¿±¸¸®(n-Butyl copper phtalate)[¼ö»êȱ¸¸®¿Í Á¦2917È£ÀÇ ¼ö¼ÒÇÁÅ»»ê ºÎÆ¿(butyl hydrohen phthalate)°úÀÇ ¹ÝÀÀ¿¡ ÀÇÇÏ¿© »ý¼ºµÈ ¿°]* Á¦2917È£ ¶Ç´Â (¥¢) ¹«±â»ê°ú À¯±â¿°±âÀÇ ¹ÝÀÀ ¿¹: ¿°Èµð¿¡Æ¿¾Æ¹Î(diethylamine hydrochloride)[Á¦2806È£ÀÇ ¿°»ê°ú Á¦2921È£ÀÇ µð¿¡Æ¿¾Æ¹Î(diethylamine)°úÀÇ ¹ÝÀÀ¿¡ ÀÇÇÏ¿© »ý¼ºµÈ ¿°]* Á¦2921È£ (b) Á¦1ÀýºÎÅÍ Á¦10Àý±îÁö³ª Á¦2942È£ÀÇ À¯±âÈÇÕ¹° »óÈ£ °£¿¡ Çü¼ºµÈ ¿°Àº ±× ¿°ÀÌ Çü¼ºµÈ ¿°±â³ª »ê[Æä³î(phenol)°ü´ÉÀ̳ª ¿¡³î(enol)°ü´ÉÈÇÕ¹°À» Æ÷ÇÔÇÑ´Ù]ÀÌ ÇØ´çÇϴ ȣ Áß ±× ¼ø¼»ó °¡Àå ¸¶Áö¸· È£¿¡ ºÐ·ùÇÑ´Ù. ¿¹: (¥¡) ÃÊ»ê¾Æ´Ò¸°(aniline acetate)[Á¦2921È£ÀÇ ¾Æ´Ò¸°°ú Á¦2915È£ÀÇ ÃÊ»ê(acetic acid)°úÀÇ ¹ÝÀÀ¿¡ ÀÇÇÏ¿© »ý¼ºµÈ ¿°]* Á¦2921È£ (¥¢) Æä³ì½ÃÃÊ»ê¸ÞÆ¿¾Æ¹Î(methylamine phenoxyacetate)[Á¦2918È£ÀÇ Æä³ì½ÃÃÊ»ê(phenoxyacetic acid)°ú Á¦2921È£ÀÇ ¸ÞÆ¿¾Æ¹Î(methylamine)°úÀÇ ¹ÝÀÀ¿¡ ÀÇÇÏ¿© »ý¼ºµÈ ¿°* Á¦2921È£ (3) ¹èÀ§ÈÇÕ¹°(co-ordination compound) ±Ý¼Ó¹èÀ§ÈÇÕ¹°Àº ±Ý¼ÓÀÌ ÇÑ °³³ª ±× ÀÌ»óÀÇ ¸®°£µå(ligand)·ÎºÎÅÍ Á¦°øµÇ´Â ¸î °³ÀÇ ¿øÀÚµé(ÀϹÝÀûÀ¸·Î 2~9°³ÀÇ ¿øÀÚµé)°ú °áÇÕÇÏ´Â ¸ðµç À¯ÇüÀ» Æ÷ÇÔÇÏ´Â °ÍÀ¸·Î ´ëÀü(Óáï³)Çß´ÂÁö¿¡ »ó°ü¾ø´Ù. ±Ý¼Ó°áÇÕÀÇ ¼ö¿Í ±Ý¼Ó°ú ÀÌ¿Í °áÇÕÇÏ´Â ¿øÀڵ鿡 ÀÇÇØ °áÁ¤µÇ´Â ±¸Á¶´Â ÁÖ¾îÁø ±Ý¼ÓÀÇ ÀϹÝÀûÀΠƯ¼ºÀÌ´Ù. Á¦11ÀýÀ̳ª Á¦2941È£·Î ºÐ·ùÇÏ´Â ¹°Ç°À» Á¦¿ÜÇϰí, ¹èÀ§ÈÇÕ¹°Àº ±Ý¼Ó-ź¼Ò°áÇÕÀ» Á¦¿ÜÇÑ ¸ðµç ±Ý¼Ó°áÇÕÀÇ ºÐ¸®µÈ Á¶°¢À¸·Î °£ÁÖÇϸç, Á¶°¢¿¡ µû¶ó(ǰ¸ñºÐ·ù»ó ½ÇÁ¦ ÈÇÕ¹°·Î °£ÁÖÇÑ´Ù) Á¦29·ùÀÇ ÇØ´çÇÏ´Â ±× ¼ø¼»ó °¡Àå ¸¶Áö¸· È£¿¡ ºÐ·ùÇÑ´Ù. ÀÌ ·ùÀÇ ÁÖ Á¦5È£´Ù¸ñ(3)ÀÇ ¸ñÀû»ó, "Á¶°¢(fragment)"À̶ó´Â ¿ë¾î´Â ºÐ¸® ÈÄ »ý¼ºµÇ´Â ¸®°£µå(ligand)¿Í ±Ý¼Ó-ź¼Ò °áÇÕÀ» Æ÷ÇÔÇÏ´Â ºÎºÐÀ» Æ÷ÇÔÇÑ´Ù. ±× ¿¹´Â ¾Æ·¡¿Í °°´Ù. Æ®¸®¿Á»ì¶óÅäö¥²»ê Ä®·ý(potassium trioxalatoferrate)Àº ±Ý¼Ó°áÇÕÀÇ ºÐ¸® ÈÄ ¾ò¾îÁö´Â Á¶°¢ÀÌ ÇØ´çÇÏ´Â ¿Á»ì»ê(oxalic acid)(Á¦2917È£)¿¡ ºÐ·ùÇÑ´Ù. Äݸ°»êö(ferrocholinate)(INN)Àº Äݸ°(choline)À» ºÐ·ùÇÏ´Â Á¦2923È£¿¡ ºÐ·ùÇÑ´Ù. À̰ÍÀ» ǰ¸ñºÐ·ù»ó °í·ÁµÉ ¼ö ÀÖ´Â ´Ù¸¥ Á¶°¢ÀÎ ±¸¿¬»ê(citric acid)ÀÌ ÇØ´çÇϴ ȣ¿¡ ºÐ·ùÇÏÁö ¾Ê°í ºÐ·ù °¡´ÉÇÑ È£ Áß ±× ¼ø¼»ó ±× ¼ø¼»ó °¡Àå ¸¶Áö¸· È£¿¡ ºÐ·ùÇÑ´Ù. ºäµµÆ¼Å×ÀÎ(budotitane)(INN) : ±Ý¼Ó°áÇÕÀÇ ºÐ¸® ÈÄ¿¡ µÎ °³ÀÇ Á¶°¢ÀÌ ¾ò¾îÁö´Âµ¥, ÇÑ °³´Â Á¦22·ùÀÇ ¿¡Åº¿Ã¿¡ ÇØ´çÇϰí, ´Ù¸¥ ÇÑ °³´Â Á¦2914È£¿¡ ºÐ·ùÇÏ´Â º¥Á¶ÀϾƼ¼Åæ(benzoylacetone)°ú À̵éÀÇ ¿¡³î±â(enol-function)¿¡ ÇØ´çÇÑ´Ù. µû¶ó¼ ºäµµÆ¼Å×ÀÎ(budotitane)(INN)Àº Á¦2914È£¿¡ ºÐ·ùÇÑ´Ù.(4) Ä«¸£º¹½Ã»êÀÇ ÇҷΰÕÈÇÕ¹°(halides of carboxylic acid)* ÀÌ·¯ÇÑ ÇҷΰÕÈÇÕ¹°Àº À̸¦ ±¸¼ºÇÏ´Â »ê(acid)ÀÇ ÇØ´ç È£¿¡ ºÐ·ùÇÑ´Ù. ¿¹: ¿°ÈÀÌ¼ÒºÎÆ¼¸±(isobutyryl chloride)Àº ÀÌ¼ÒºÎÆ¿»ê(isobutyric acid)°ú °°ÀÌ Á¦2915È£¿¡ ºÐ·ùÇÑ´Ù. (H) Á¦2932È£, Á¦2933È£, Á¦2934È£¿¡¼ÀÇ ºÐ·ù(·ùÀÇ ÁÖ Á¦7È£) Á¦2932È£, Á¦2933È£, Á¦2934È£¿¡¼´Â 3¿ø°í¸®ÀÇ ¿¡Æø½Ãµå(epoxide), °ú»êÈÄÉÅæ(ketone peroxide), ¾Ëµ¥È÷µå(aldehyde)³ª Ƽ¿À¾Ëµ¥È÷µå(thioaldehyde)ÀÇ È¯½ÄÁßÇÕü, ´Ù¿°±â Ä«¸£º¹½Ã»ê(carboxylic acid)ÀÇ ¹«¼ö¹°(Ùíâ©Úª), ´Ù°¡¾ËÄÚ¿Ã(polyhydric alcohol)À̳ª ´Ù°¡Æä³î(polyhydric phenol)°ú ´Ù¿°±â»ê(polybasic acid)°úÀÇ È¯½Ä¿¡½ºÅ׸£(cyclic ester), ´Ù¿°±â»êÀÇ À̵̹å(imide)¸¦ Æ÷ÇÔÇÏÁö ¾Ê´Â´Ù. ´Ü, À̰͵éÀº °í¸®¸¦ ÀÌ·ç´Â ÇìÅ׷οøÀÚ(hetero-atom)¸¦ ¿©±â¿¡ ³ª¿ÇÑ È¯°ü´É±â³ª °ü´É±â¿¡¼ »ý±ä °ÍÀ¸·Î ÇÑÁ¤ÇÏ¿© Àû¿ëÇÑ´Ù. ÀÌ ·ùÀÇ ÁÖ Á¦7È£ÀÇ ¾ÕºÎºÐ¿¡ ¿°ÅµÈ °ü´É±â¿¡ ´õÇØ¼ ´Ù¸¥ °í¸®¸¦ °¡Áö´Â ÇìÅ׷οøÀÚ(hetero-atom)°¡ ÀÖ´Â °æ¿ì¿¡´Â, ¸ðµç ȯ±¸Á¶¸¦ Çü¼ºÇÏ´Â °ü´É±â¸¦ °í·ÁÇÏ¿© ºÐ·ùÇÑ´Ù. µû¶ó¼, ¿¹¸¦ µé¸é, ¾Æ³ªÅ°½Ã·Ð(anaxirone)(INN)°ú ÇÁ¶óµ¥Æ÷ºñ¸£(pradefovir)(INN)´Â µÑ ÀÌ»óÀÇ ´Ù¸¥ ÇìÅ׷οøÀÚ¸¦ °¡Áö´Â º¹¼Òȯ½Ä ÈÇÕ¹°·Î¼ Á¦2934È£¿¡ ºÐ·ùÇϸç, Áú¼ÒÇìÅ×·Î°í¸®ÈÇÕ¹°¸¸À» ºÐ·ùÇÏ´Â Á¦2933È£¿¡´Â ºÐ·ùÇÏÁö ¾Ê´Â´Ù.  |
(IJ) À¯µµÃ¼ÀÇ ºÐ·ù ÈÇÐ ÈÇÕ¹°ÀÇ À¯µµÃ¼ÀÇ È£ ´ÜÀ§ÀÇ ºÐ·ù´Â ÅëÄ¢À» Àû¿ëÇÏ¿© °áÁ¤ÇÑ´Ù. ÀÌ ·ùÀÇ ÁÖ Á¦3È£´Â À¯µµÃ¼°¡ ÀáÁ¤ÀûÀ¸·Î µÎ °³ ÀÌ»óÀÇ È£¿¡ ºÐ·ù °¡´ÉÇÒ ¶§ Àû¿ëÇÑ´Ù. ÀÌ ·ùÀÇ ÇÑ È£¿¡ ºÐ·ùÇÏ´Â °æ¿ì¿¡ À¯µµÃ¼´Â ¼ÒÈ£ÁÖ Á¦1È£¸¦ Àû¿ëÇÏ¿© ºÐ·ùÇÑ´Ù. (K) ºÙÀº °í¸®±¸Á¶ ºÙÀº °í¸® ±¸Á¶´Â Àû¾îµµ µÎ °³ÀÇ °í¸®°¡ ÀÖ´Â ±¸Á¶·Î¼ ÀÌ °í¸®µéÀº Çϳª(´Ü Çϳª)·Î °áÇյǾî ÀÖÀ¸¸é¼ ¶ÇÇÑ µÎ °³(´Ü µÎ °³) ¿øÀÚ¸¦ °øÀ¯Çϰí ÀÖ´Ù. ºÙÀº °í¸®±¸Á¶´Â ´Ùȯ½Ä ÈÇÕ¹°(¿¹: ´Ùȯ½Ä źȼö¼Ò, ÇìÅ×·Î°í¸®ÈÇÕ¹°)ÀÇ ºÐÀÚ¿¡¼ ³ªÅ¸³ª´Âµ¥ ¿©±â¿¡´Â µÎ °³ÀÇ È¯½Ä °í¸®°¡ µÎ °³ÀÇ ÀÎÁ¢ ¿øÀÚ¸¦ °®°í ÀÖ´Â °øÀ¯º¯À» °¡Áö°í °áÇÕÇÏ¿© ÀÖ´Â ¹Ù, ¾Æ·¡ÀÇ ¿¹´Â À̸¦ ³ªÅ¸³½ °ÍÀÌ´Ù. º¹ÇÕ °í¸® ±¸Á¶¿¡¼´Â ƯÁ¤ °í¸®ÀÇ µÎ °³ ÀÌ»óÀÇ º¯¿¡ ºÙÀ½ÀÌ ÀϾ ¼ö ÀÖ´Ù. µÎ °³ÀÇ °í¸®°¡ µÎ °³(´Ü µÎ °³)ÀÇ ¿øÀÚ¸¦ °øÀ¯Çϰí ÀÖ´Â ´Ùȯ½Ä ÈÇÕ¹°Àº "¿À¸£Åä-ºÙÀ½(ortho-fused)"À̶ó°í ºÒ¸°´Ù. ÇÑÆí, ÇÑ °³ÀÇ °í¸®°¡ µÎ °³ÀÇ ¿øÀÚ(´Ü µÎ °³)¸¦ ¿¬¼ÓÀûÀ¸·Î Á¢ÃËÇϰí ÀÖ´Â °í¸® Áß µÎ °³ ÀÌ»óÀÇ °í¸®¿Í °¢°¢ °øÀ¯Çϰí ÀÖ´Â ´Ùȯ½Ä ÈÇÕ¹°Àº "¿À¸£Åä(ortho)¿Í Æä¸®(peri) ºÙÀ½"À̶ó°í ÀÏÄþîÁø´Ù. ´ÙÀ½ÀÇ º¸±â´Â ÀÌ¿Í °°Àº µÎ °³ÀÇ ´Ù¸¥ Á¾·ùÀÇ ºÙÀº °í¸®¸¦ ±×¸²À¸·Î ³ªÅ¸³½ °ÍÀÌ´Ù. ÇÑÆí ¾Æ·¡±×¸²Àº °¡±³±¸Á¶(ºÙÁö ¾ÊÀº)·Î µÈ Äû³î¸°(quinoline)ÀÇ ¿¹ÀÌ´Ù. ÀÌ ·ùÀÇ ÇØ¼³ º»¹®¿¡¼ ÈÇÐ½Ä ´ÙÀ½¿¡ ³ª¿À´Â º°Ç¥ "*"´Â ±× ÈÇб¸Á¶¸¦ Á¦29·ù ÇØ¼³¿¡ ´ëÇÑ ºÎ¼Ó¼¿¡¼ ÂüÁ¶ÇÒ ¼ö ÀÖÀ½À» ³ªÅ¸³½´Ù.
|